2018年,由普瑞亿科联合中科院地理所共同设计研发的PRI-8800全自动变温培养土壤温室气体在线测量系统得到了广泛关注。该设备旨在为科研人员提供室内变温培养模拟野外环境的条件,让科研可以更广、更深层次地开展。
本期,我们将与大家分享的是一篇利用PRI-8800和同位素示踪技术发表的新文章,主要阐述了不同温度下微生物对易分解有机碳和土壤有机质的利用情况。
温度如何影响土壤微生物对易分解有机碳输入的快速响应?土壤有机质(SOM)分解的温度敏感性(Q10)在短期内如何受到易分解有机碳输入的影响?我们一起学习一下吧!
土壤作为陆地生态系统最大的碳库,是陆地生态系统碳分配与转化的核心部位。土壤有机碳主要来源于凋落物、根系周转和根系分泌物的输入,而土壤有机碳的输出主要是土壤有机质分解将碳排放到大气中的过程。土壤微生物是生物地球化学循环的重要驱动者, 对陆地生态系统的物质循环和能量流动具有重要作用。如图1,在自然生态系统中,易分解有机碳(LOC)向土壤中的输入是常见的自然现象,如,植物根系分泌物的连续输入,降雨时雨水携带有机物质向土壤深层的渗入等,这种有机碳以连续或者脉冲的形式向土壤的输入对土壤碳库的形成和稳定具有重要影响。
另外,全球气候变暖加之大气CO2浓度升高,预计植被生产力的提高将导致植被向土壤输入更多的碳,也可能由于“激发效应”而对土壤碳库造成更大的不确定性。然而,长期以来,由于受到测量技术的限制,目前仍不清楚温度如何影响土壤微生物对易分解有机碳输入的快速响应,以及土壤有机质(SOM)分解的温度敏感性(Q10)在短期内如何受到易分解有机碳输入的影响。

图1 自然生态系统中易分解有机碳向土壤输入的概念图
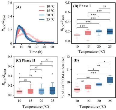
针对以上问题,研究人员利用团队自主开发的PRI-8800和同位素示踪技术,将δ13C标记的葡萄糖添加到采集自内蒙古草原的土壤中,在53小时的培养期内,在分钟尺度上测定了不同温度下(10, 15, 20, 25 ℃)微生物对易分解有机碳和土壤有机质的利用情况。研究结果表明,微生物对易分解有机碳输入的反应是迅速的,易分解有机碳的添加促进了土壤有机质的分解(图2);随着温度的升高,微生物利用易分解有机碳和土壤有机质的呼吸比例增加,更多的易分解有机碳被用于呼吸作用(图3)。此外,易分解有机碳输入在短期内显著增大了土壤有机质分解的温度敏感性,但这种影响随着易分解有机碳的消耗而逐渐减小(图4)。

图2 不同的温度处理下微生物呼吸速率和CO2累积排放

图3 微生物利用不同碳源(易分解有机碳vs土壤有机质)呼吸作用的比例

图4 易分解有机碳和土壤有机质分解的温度敏感性变化
近期,相关研究成果以“Short-term effects of labile organic C addition on soil microbial response to temperature in a temperate steppe”为题在线发表于国际土壤学领域主流期刊《Soil Biology and Biochemistry》(IF5 = 8.312)。中央民族大学生命与环境科学学院2019级博士研究生李超为本论文第一作者,中央民族大学生命与环境科学学院肖春旺教授和中国科学院地理科学与资源研究所何念鹏研究员为本论文的共同通讯作者;其他贡献作者还包括法国巴黎文理研究大学的Bertrand Guenet教授、李明旭博士和徐丽博士。本研究得到了国家自然科学基金(No. 42141004, 31988102, 32171544)和中央民族大学研究生科研实践项目(NO. BZKY2021075)的资助。
近几年,何念鹏团队利用其原创的“连续变温培养+连续自动测定模式”(简称VCM模式)和与北京普瑞亿科联合研究的PRI-8800,在土壤有机质分解速率、Q10及其调控机制方面取得了系列进展,在《Global Change Biology》和《Soil Biology and Biochemistry》等期刊发表了15篇科研论文。
2022年,PRI-8800全自动变温培养土壤温室气体在线测量系统全新升级,将在5月重磅推出,敬请期待!
相关论文信息
1.Li, C., Xiao, C.W., Guenet, B., Li, M.X., Xu, L., He, N.P. 2022. Short-term effects of labile organic C addition on soil microbial response to temperature in a temperate steppe. Soil Biology and Biochemistry 167, 108589. https://doi.org/10.1016/j.soilbio.2022.108589.
2.Jiang ZX, Bian HF, Xu L, He NP. 2021. Pulse effect of precipitation: spatial patterns and mechanisms of soil carbon emissions. Frontiers in Ecology and Evolution, 9: 673310.
3.Liu Y, Xu L, Zheng S, Chen Z, Cao YQ, Wen XF, He NP. 2021. Temperature sensitivity of soil microbial respiration in soils with lower substrate availability is enhanced more by labile carbon input. Soil Biology and Biochemistry, 154: 108148.
4.Bian HF, Zheng S, Liu Y, Xu L, Chen Z, He NP. 2020. Changes in soil organic matter decomposition rate and its temperature sensitivity along water table gradients in cold-temperate forest swamps. Catena, 194: 104684.
5.Xu M, Wu SS, Jiang ZX, Xu L, Li MX, Bian HF, He NP. 2020. Effect of pulse precipitation on soil CO2 release in different grassland types on the Tibetan Plateau. European Journal of Soil Biology, 101: 103250.
6.Liu Y, He NP, Xu L, Tian J, Gao Y, Zheng S, Wang Q, Wen XF, Xu XL, Yakov K. 2019. A new incubation and measurement approach to estimate the temperature response of soil organic matter decomposition. Soil Biology & Biochemistry, 138, 107596.
7.Liu Y, He NP, Wen XF, Xu L, Sun XM, Yu GR, Liang LY, Schipper LA. 2018. The optimum temperature of soil microbial respiration: Patterns and controls. Soil Biology and Biochemistry, 121: 35-42.
8.Liu Y, Wen XF, Zhang YH, Tian J, Gao Y, Ostle NJ, Niu SL, Chen SP, Sun XM, He NP. Widespread asymmetric response of soil heterotrophic respiration to warming and cooling. Science of Total Environment, 635: 423-431.
9.Wang Q, He NP, Xu L, Zhou XH. 2018. Important interaction of chemicals, microbial biomass and dissolved substrates in the diel hysteresis loop of soil heterotrophic respiration. Plant and Soil, 428: 279-290.
10.Wang Q, He NP, Xu L, Zhou XH. 2018. Microbial properties regulate spatial variation in the differences in heterotrophic respiration and its temperature sensitivity between primary and secondary forests from tropical to cold-temperate zones. Agriculture and Forest Meteorology, 262, 81-88.
11.Li J, He NP, Xu L, Chai H, Liu Y, Wang DL, Wang L, Wei XH, Xue JY, Wen XF, Sun XM. 2017. Asymmetric responses of soil heterotrophic respiration to rising and decreasing temperatures. Soil Biology & Biochemistry, 106: 18-27.
12.Liu Y, He NP, Xu L, Niu SL, Yu GR, Sun XM, Wen XF. 2017. Regional variation in the temperature sensitivity of soil organic matter decomposition in China’s forests and grasslands. Global Change Biology, 23: 3393-3402.
13.Wang Q, He NP*, Liu Y, Li ML, Xu L. 2016. Strong pulse effects of precipitation event on soil microbial respiration in temperate forests. Geoderma, 275: 67-73.
14.Wang Q, He NP, Yu GR, Gao Y, Wen XF, Wang RF, Koerner SE, Yu Q*. 2016. Soil microbial respiration rate and temperature sensitivity along a north-south forest transect in eastern China: Patterns and influencing factors. Journal of Geophysical Research: Biogeosciences, 121: 399-410.
15.He NP, Wang RM, Dai JZ, Gao Y, Wen XF, Yu GR. 2013. Changes in the temperature sensitivity of SOM decomposition with grassland succession: Implications for soil C sequestration. Ecology and Evolution, 3: 5045-5054.
16.何念鹏, 刘远, 徐丽, 温学发, 于贵瑞, 孙晓敏. 2018. 土壤有机质分解温度敏感性研究:培养与测定模式. 生态学报, 38: 4045-4051.
如果您对我们的产品或本期内容有任何问题,欢迎致电垂询:
-
地址:北京市海淀区瀚河园路自在香山98-1号楼
-
电话:010-51651246 88121891
-
邮箱:support@pri-eco.com
首页










精选实验室,品牌服务
平台担保,安全交易
7*12客服,快速响应
微测VLab,躺盈赚钱