
土壤有机碳是指土壤中各种正价态的含碳有机化合物,是土壤极其重要的组成部分,对地球碳循环有巨大的影响,既是温室气体“源”,也是其重要的“汇”。由于土壤有机碳的组成成分和结构十分复杂,加之受到环境与测量技术的限制,目前对其分解特征和循环转化尚未得到充分的认识。
2018年,由北京普瑞亿科科技有限公司与中国科学院地理科学与资源研究所联合研发的PRI-8800全自动变温培养土壤温室气体在线测量系统,一经推出便得到了广泛关注。该系统在土壤有机质分解速率、Q10及其调控机制方面提供了一整套高效的解决方案,为科研人员提供室内变温培养模拟野外环境的条件,让科研可以更广、更深层次地开展,相关文章发表已达17篇。
今天与大家分享的文章是罗忠奎课题组关于揭示剖面土壤有机碳分解对温度变化的响应特征及其控制因子的研究。

在该项研究中,针对土壤培养和Q10估算,采用PRI-8800作为关键设备之一,该成果发表于《Soil Biology and Biochemistry》,我们一起学习一下吧!

在气候变暖的背景下,土壤有机碳分解温度敏感性(Q10)的研究主要集中在表层土壤,而深层土壤有机碳分解特征及其控制因子还未得到充分的认识,这将会明显增加陆地生态系统土壤碳库—气候反馈的强度和方向预测的不确定性。
针对上述问题,浙江大学环境与资源学院遥感所罗忠奎研究员课题组在中国西藏东南部,采集沿着海拔区间约2500米(约2100米至约4600米)的样带(从常绿阔叶林到高寒草甸)10个地点、5个连续土层深度(0-10、10-20、20-30、30-50和50-100 cm)土壤样品,结合13C-NMR和物理化学分组技术表征了有机碳的化学分子结构和物理化学稳定性,并对剖面土壤进行培养(128天),评估了土壤有机碳分解的温度敏感性及其主要影响因子。

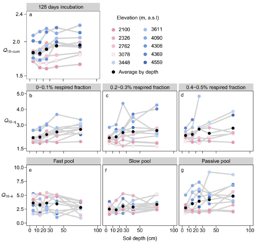
图1.不同海拔和土层间Q10值的分布,Q10-cum,基于128天累积培养呼吸计算;Q10-q,基于累积消耗碳组分0-0.1%、0.2-0.3%、0.4-0.5%计算;Q10-k基于模型模拟快库、慢库、惰库计算。

表1.海拔和土层对不同Q10的影响
研究结果发现不同海拔和不同土层土壤有机碳的化学稳定性和物理化学稳定性都存在显著差异。高海拔地区(海拔3600米以上的冷杉林和高山草甸)土壤有机碳的化学抗性高于低海拔地区。土壤有机碳分解的Q10受土壤深度和海拔高度的显著影响。而深度对Q10的影响远小于海拔梯度对Q10的影响。高海拔地区土壤有机碳矿化的温度敏感性高于低海拔地区。

图2.随机森林模型明确气候因素、土壤理化性质、化学组分和物理保护对Q10-q的影响
土壤有机碳的化学性质在土壤有机碳矿化温度敏感性的变异中起主要解释作用,其中有机碳疏水性、累积矿化碳组分和烷基碳/氧烷基碳比率为重要性前三的土壤有机碳化学性质;土壤有机碳物理保护作用次之。


图3.气候、土壤理化性质、化学组分和物理保护对Q10的影响
有机碳的化学组成及其对分解的物理化学保护对Q10值的解释方差贡献了80%。路径分析表明,气候通过调控土壤有机碳的化学组成及其物理化学稳定性间接影响Q10。基于数据约束的碳模型进一步揭示,快速、缓慢和被动碳库的Q10表现出显著差异,这是由于其分解过程中化学组成参与和物理化学保护的不同造成。
研究成果以“Climate-induced shifts in composition and protection regulate temperature sensitivity of carbon decomposition through soil profile”为题,于2022年6月2日在线发表于土壤学科领域著名期刊Soil Biology and Biochemistry(5年影响因子8.312)。浙江大学环境与资源学院助理研究员毛霞丽为第一作者,博士研究生郑金阳成为共同第一作者,浙江大学环资与资源学院研究员罗忠奎为通讯作者。该项目得到国家自然科学基金项目(41930754、32171639),国家重点研发政府间国际科技创新合作项目(2021YFE0114500),中央高校基础研究基金(226-2022-00084)。
相关论文信息:Mao X1, Zheng J1, Yu W, Guo X, Xu K, Zhao R, Xiao L, Wang M, Jiang Y, Zhang S, Luo L, Chang J, Shi Z, Luo Z* 2022. Climate-induced shifts in composition and protection regulate temperature sensitivity of carbon decomposition through soil profile. Soil Biology and Biochemistry 172, 108743.
全文链接:https://doi.org/10.1016/j.soilbio.2022.108743
UPGRADED!
为了更好地助力土壤研究
服务国家“双碳”目标
普瑞亿科从未停止创新的脚步
历时一年的研究与探索
2022年全新升级的PRI-8800重磅上线
升级后的系统有哪些亮点?
我们一起了解一下~


土壤有机质分解速率(R)对温度变化的响应非常敏感。温度敏感性参数(Q10)可以刻画土壤有机质分解对温度变化的响应程度。Q10是指温度每升高10℃,R所增加的倍数;Q10值越大,表明土壤有机质分解对温度变化就越敏感。Q10不仅取决于有机质分子的固有动力学属性,也受到环境条件的限制。Q10能抽象地描述土壤有机质分解对温度变化的响应,在不同生态类型系统、不同研究间架起了一个规范的和可比较的参数,因此其研究意义重大。
以往Q10研究通过选取较少的温度梯度(3-5个点)进行测量,从而导致不同土壤的呼吸对温度变化拟合相似度高的问题无法被克服。Robinson最近的研究(2017)指出,最低20个温度梯度拟合土壤呼吸对温度的响应曲线可以有效解决上述问题。PRI-8800全自动变温土壤温室气体在线测量系统为Q10的研究提供了强有力的工具,不仅能用于测量Q10对环境变量主控温度因子的响应,也能用于测量其对土壤含水量、酶促反应、有机底物、土壤生物及时空变异等的响应。PRI-8800为Q10对关联影响因子的研究,提供了一套快捷、高效、准确的整体解决方案。
01 主要特点
-
可进行恒温或变温培养设定;
-
温度控制波动优于±0.05℃;
-
平均升降温速率不小于1°C/min;
-
150ml样品瓶适配25位样品盘;
-
具有CO2预降低的双回路设计;
-
一体化设计,内置CO2 H2O模块;
-
可以外接浓度和同位素分析仪等。
02 PRI-8800 实验设计
1)温度依赖性的研究:既然温度的变化会极大影响土壤呼吸,基于温度变化的Q10研究成为科学家研究中重中之重。2017年Robinson提出的最低20个温度梯度拟合土壤呼吸对温度响应曲线的建议,将纠正以往研究人员只设置3-5个温度点(大约相隔5-10℃)进行呼吸测量的做法,该建议能解决传统方法因温度梯度少而导致的不同土壤的呼吸对温度变化拟合相似度高的问题,更能提升不同的理论模型或随后模型推算结果的准确性。而上述至少20个温度点的设置和对应的土壤呼吸测量,仅仅需要在PRI-8800程序中预设几个温度梯度即可完成多个样品在不同温度下的自动测量,这将极大提高科学家的工作效率。
除了上述变温应用案例外,科学家还可以依据自己的实验设计进行诸如日变化、月变化、季节变化、甚至年度温度变化的模拟培养,通过PRI-8800的“傻瓜式”操作测量,将极大减少科学家实验实施的周期和工作量,并提高了工作效率。PRI-8800全自动变温培养土壤CO2 H2O在线测量系统主要包含自动进样器、水槽、压缩机、CO2 H2O 分析仪、内部计算机、25位样品盘等,25个样品瓶。
PRI-8800除了具有上述变温培养的特色,还可以进行恒温培养,抑或是恒温/变温交替培养,这些组合无疑拓展了系统在不同温度组合条件下的应用场景。
2)水分依赖性的研究:多数研究表明,在温度恒定的情况下,Q10很容易受土壤含水量的影响,表现出一定的水分依赖特性。PRI-8800可以通过手动调整土壤含水量的做法,并在PRI-8800快速连续测量模式下,实现不同水分梯度条件下土壤呼吸的精准测量,而PRI-8800的逻辑设计,为短期、中期和长期湿度控制条件下的土壤呼吸的连续、高品质测量提供了可能。
3)底物依赖性的研究:底物物质量与Q10密切相关,这里的底物包含不限于自然态的土壤,如含碳量,含氮量,易分解/难分解的碳比例、土壤粘粒含量、酸碱盐度等;也可能包含了某些外源底物,如外源的生物质碳、微生物种群、各种肥料、呼吸促进/抑制剂、同位素试剂等。通过PRI-8800快速在线变温培养测量,能加速某些研究进程并获得可靠结果,如生物质炭在土壤改良过程中的土壤呼吸研究、缓释肥缓释不同阶段对土壤呼吸的持续影响、盐碱土壤不同改良措施下的土壤呼吸的变化响应等等。
4)生物依赖性的研究:土壤呼吸包含土壤微生物呼吸(>90%)和土壤动物呼吸(1-10%),土壤微生物群落对Q10影响重大。通过温度响应了解培养前后的微生物种群和数量的变化以及对应的土壤呼吸速率的变化有重要意义。外源微生物种群的添加,或许帮助科学家找出更好的Q10对土壤生物依赖性的响应解析。
03 PRI-8800相关文献信息
1.Li, C., Xiao, C.W., Guenet, B., Li, M.X., Xu, L., He, N.P. 2022. Short-term effects of labile organic C addition on soil microbial response to temperature in a temperate steppe. Soil Biology and Biochemistry 167, 108589. https://doi.org/10.1016/j.soilbio.2022.108589.
2.Jiang ZX, Bian HF, Xu L, He NP. 2021. Pulse effect of precipitation: spatial patterns and mechanisms of soil carbon emissions. Frontiers in Ecology and Evolution, 9: 673310.
3.Liu Y, Xu L, Zheng S, Chen Z, Cao YQ, Wen XF, He NP. 2021. Temperature sensitivity of soil microbial respiration in soils with lower substrate availability is enhanced more by labile carbon input. Soil Biology and Biochemistry, 154: 108148.
4.Bian HF, Zheng S, Liu Y, Xu L, Chen Z, He NP. 2020. Changes in soil organic matter decomposition rate and its temperature sensitivity along water table gradients in cold-temperate forest swamps. Catena, 194: 104684.
5.Xu M, Wu SS, Jiang ZX, Xu L, Li MX, Bian HF, He NP. 2020. Effect of pulse precipitation on soil CO2 release in different grassland types on the Tibetan Plateau. European Journal of Soil Biology, 101: 103250.
6.Liu Y, He NP, Xu L, Tian J, Gao Y, Zheng S, Wang Q, Wen XF, Xu XL, Yakov K. 2019. A new incubation and measurement approach to estimate the temperature response of soil organic matter decomposition. Soil Biology & Biochemistry, 138, 107596.
7.Liu Y, He NP, Wen XF, Xu L, Sun XM, Yu GR, Liang LY, Schipper LA. 2018. The optimum temperature of soil microbial respiration: Patterns and controls. Soil Biology and Biochemistry, 121: 35-42.
8.Liu Y, Wen XF, Zhang YH, Tian J, Gao Y, Ostle NJ, Niu SL, Chen SP, Sun XM, He NP. Widespread asymmetric response of soil heterotrophic respiration to warming and cooling. Science of Total Environment, 635: 423-431.
9.Wang Q, He NP, Xu L, Zhou XH. 2018. Important interaction of chemicals, microbial biomass and dissolved substrates in the diel hysteresis loop of soil heterotrophic respiration. Plant and Soil, 428: 279-290.
10.Wang Q, He NP, Xu L, Zhou XH. 2018. Microbial properties regulate spatial variation in the differences in heterotrophic respiration and its temperature sensitivity between primary and secondary forests from tropical to cold-temperate zones. Agriculture and Forest Meteorology, 262, 81-88.
11.Li J, He NP, Xu L, Chai H, Liu Y, Wang DL, Wang L, Wei XH, Xue JY, Wen XF, Sun XM. 2017. Asymmetric responses of soil heterotrophic respiration to rising and decreasing temperatures. Soil Biology & Biochemistry, 106: 18-27.
12.Liu Y, He NP, Xu L, Niu SL, Yu GR, Sun XM, Wen XF. 2017. Regional variation in the temperature sensitivity of soil organic matter decomposition in China’s forests and grasslands. Global Change Biology, 23: 3393-3402.
13.Wang Q, He NP*, Liu Y, Li ML, Xu L. 2016. Strong pulse effects of precipitation event on soil microbial respiration in temperate forests. Geoderma, 275: 67-73.
14.Wang Q, He NP, Yu GR, Gao Y, Wen XF, Wang RF, Koerner SE, Yu Q*. 2016. Soil microbial respiration rate and temperature sensitivity along a north-south forest transect in eastern China: Patterns and influencing factors. Journal of Geophysical Research: Biogeosciences, 121: 399-410.
15.He NP, Wang RM, Dai JZ, Gao Y, Wen XF, Yu GR. 2013. Changes in the temperature sensitivity of SOM decomposition with grassland succession: Implications for soil C sequestration. Ecology and Evolution, 3: 5045-5054.
16.何念鹏, 刘远, 徐丽, 温学发, 于贵瑞, 孙晓敏. 2018. 土壤有机质分解温度敏感性研究:培养与测定模式. 生态学报, 38: 4045-4051.
17.Mao X1, Zheng J1, Yu W, Guo X, Xu K, Zhao R, Xiao L, Wang M, Jiang Y, Zhang S, Luo L, Chang J, Shi Z, Luo Z* 2022. Climate-induced shifts in composition and protection regulate temperature sensitivity of carbon decomposition through soil profile. Soil Biology and Biochemistry 172, 108743.
如果您对我们的产品或本期内容有任何问题,欢迎致电垂询:
-
地址:北京市海淀区瀚河园路自在香山98-1号楼
-
电话:010-51651246 88121891
-
邮箱:support@pri-eco.com
首页










精选实验室,品牌服务
平台担保,安全交易
7*12客服,快速响应
微测VLab,躺盈赚钱